As power systems evolve with increased cable deployment and renewable integration, harmonic resonances during switching operations create complex overvoltage stresses that traditional power-frequency models cannot adequately assess.
This edited contribution to INMR by Kostas Velitsikakis of TenneT TSO in the Netherlands, in cooperation with experts at Delft University of Technology, reviews development and validation of a frequency-dependent model for metal oxide surge arresters operating under temporary overvoltage conditions containing harmonic content.
Through systematic characterization from 10 Hz to 300 Hz, their research revealed that surge arrester resistance exhibits significant frequency dependence while capacitance remains stable. An RC network model implemented in ATP-EMTP captures this behavior through automated parameter extraction, reproducing measured characteristics within acceptable engineering accuracy. The methodology provides a practical tool for assessing surge arrester thermal stress in modern cable-rich networks where harmonic content during temporary overvoltages becomes unavoidable.
Transmission System Operators (TSOs) are being challenged by the need for expanding their grids to meet demand for higher capacities. These are the result of load growth as well as the need to connect increased renewable energy generation projects to meet climate-change targets.
At the same time, cable systems are gaining an increasing share in grid expansion projects. For example, in the Dutch grid, TenneT TSO will install more than 4000 km of underground cables in the coming years. The tendency of applying many and long cable connections in a transmission grid could result in low order harmonic resonances. System transient events might excite harmonic resonances and could lead to manifestation of Temporary Overvoltages (TOVs). As illustrated in Fig. 1, such TOVs are harmonic distorted and lightly damped. These characteristics make their evaluation of significant importance for surge arresters.

In general, surge arresters are designed and selected to protect high voltage equipment from transient overvoltages, while not being damaged by continuous voltages and TOVs. In traditional insulation coordination studies, modelling of the surge arresters is appropriate for lightning and switching surge analysis. Arrester models are based mainly on voltage-current characteristics and typically represent the arrester as a non-linear resistor, perhaps with parallel capacitance. Unfortunately, these models ignore frequency-dependent behaviour, which could lead to underestimating the energy absorption of surge arresters when conducting harmonic resonance TOV studies.
For this reason, a study was conducted, aiming to develop a new surge arrester modelling framework that can adequately represent the energy absorption under harmonic-rich conditions.
Testing Methodology
A high-voltage test circuit was developed to characterize surge arrester blocks across multiple frequencies (see Fig. 2). The test set-up employs a precision high-voltage amplifier capable of delivering up to 30 kV at 20 mA over a frequency range extending to 300 Hz. The amplifier drives the MOV block under test through a mechanical test fixture designed to apply 1 kN of compressive force, ensuring consistent electrical contact between the block and the test electrodes. Current measurements are obtained using a 1 kΩ shunt resistor connected between the arrester’s bottom electrode and ground. This configuration avoids phase distortions introduced by the amplifier’s internal current monitoring. Voltage and current signals are acquired using a PicoScope 6424E oscilloscope and the sampling rates are adjusted based on test frequency.

Validation was performed on two different station-class surge arrester blocks (see Fig. 3). Table 1 presents their manufacturer specifications.


Measurements were conducted at frequencies of 10, 17, 27, 50, 100, 150, and 300 Hz, capturing the power frequency, harmonics up to the 6th order and sub-harmonic frequencies to cover the entire region of frequencies relevant for TOVs. Voltage levels ranged from 1.3 to 4.7 kV peak for the first block and 3.0 to 10.0 kV peak for the second block were selected to characterize the leakage current region while maintaining measurable current levels above the noise floor of the setup. Decomposition of the measured arrester current, as seen in Fig. 4, separates the total current into its capacitive and resistive components. The decomposition methodology provides insight into the distinct conduction mechanisms within the MOV structure.

Experimental Results
Fig. 5 presents the extracted capacitance and resistance of block #1 as functions of the applied voltage across the tested frequency range. The capacitance maintains a value of approximately 2.5 nF across the voltage range, demonstrating frequency independence in the pre-conduction region. This stability indicates that the geometric and material properties governing the capacitance remain unaffected by frequency variations within the tested range.
On the other hand, the resistance exhibits monotonic decrease with both voltage and frequency. At 3 kV peak, resistance decreases from approximately 10 MΩ at 10 Hz to 1 MΩ at 300 Hz. This order-of-magnitude variation demonstrates that frequency-dependent effects cannot be neglected when assessing surge arrester performance under harmonic conditions. The frequency dependence arises from dielectric relaxation processes within the ZnO grain boundary network, where charge carriers respond to alternating fields at different time scales. The frequency-dependent resistance can be decomposed into linear and non-linear components. The linear component, representing dielectric losses, follows a power-law relationship with frequency. The non-linear component increases exponentially with voltage. This decomposition reveals that both frequency-dependent dielectric losses and voltage-dependent conduction contribute to the total energy dissipation in the MOV.

The analysis was repeated for the second block, this time up to 500 Hz. Since this block has a rated voltage almost twice as that of the first block, the voltage-current characteristics are different. Nonetheless, both blocks showed the same trends in terms of capacitance and resistance (as seen in Fig. 6).
For the second block, the capacitance was approximately 0.5 nF while the resistance was frequency dependent; decreasing as the frequency increased. The anomalously high resistance values at 10 Hz for both blocks need to be investigated further. This could be attributed to initial conditioning effects in newly manufactured blocks or to inherent arrester behaviour at such low frequencies.

The measured voltage-current characteristics in Fig. 7 reveal that below the knee voltage point of the MOV, the current is capacitive dominant while above the knee voltage, the nonlinear resistive behaviour takes over. The transition from capacitive to resistive behavior occurs between 4-4.5 kV peak for the first block and between 9–10 kV peak for the second block, corresponding to the onset of arrester conduction.
For any voltage point, it is observed that as frequency increases, the current also increases, thus indicating that arresters subjected to TOV harmonics can conduct more current, which potentially could lead to thermal runway at a faster rate.

Development of Model
Based on the observed frequency-dependent behaviour, an RC network representation was developed for implementation in EMTP-ATP. The model consists of three parallel RC branches, as shown in Fig. 8, representing the distributed relaxation processes that occur within the arrester block at different frequencies, combined with a frequency-independent nonlinear resistor capturing the voltage-dependent conduction. The latter component has been extracted as part of the analysis done earlier.
Choice of a three RC branch network is a tradeoff between the practical and accurate representation of the MOV grain boundary, sufficient for systems studies. The model, however, can be extended to more RC branches if more accurate representation is necessary.

Model parameters were obtained through a fitting process. Table 2 presents the extracted RC network parameters for the first MOV block under testing and represents:
1. Each Rk-Ck branch represents one frequency decade of the block to capture the distributed nature of relaxation processes within the arrester grain boundary network.
2. C∞ represents the capacitance of the arrester at any given frequency.
3. Cs blocks the dielectric loss circuit from contributing to the DC leakage current.
4. G∞ sets the resistance limit of the circuit as frequency approaches zero.

The frequency-dependent V-I characteristics of the model demonstrates the transition from capacitive behaviour at high frequencies to resistive behaviour at lower frequencies (as shown in Fig. 9). The model reproduces the frequency ordering observed in measurements, with the current magnitude increasing as the frequency increases for a given voltage level. This behaviour directly impacts energy dissipation calculations for temporary overvoltages containing harmonic content.

Model Validation
Model validations were carried out on both blocks. Impedance validation was performed at 3 kV to evaluate the model’s representation of frequency-dependent behaviour in the linear region. Fig. 10 compares measured and modeled resistance and reactance components. The model reproduces the frequency-dependent resistance within 15% error across the frequency range. Reactance agreement is within 10%, confirming an acceptable representation of capacitive behaviour. The close tracking of both components validates the RC network’s ability to represent the distributed impedance characteristics of the MOV block.

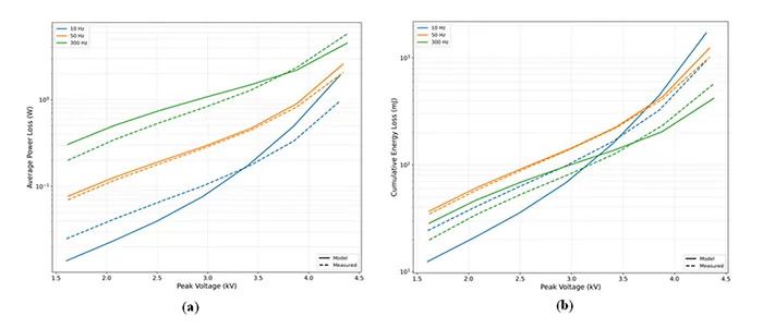
Validation of energy dissipation was performed across 42 test cases spanning 7 frequencies and 6 voltage levels. Fig. 11 presents the power losses and the cumulative energy compared between measured MOV and calculated FD model values for 3 test cases.

The model maintains correct frequency ordering and captures the exponential voltage dependence across the tested range. Mean absolute errors are 22% for energy and 25% for power, with best accuracy at 50 Hz where errors reduce below 10%. The systematic nature of the errors suggests that model accuracy could be improved through additional RC branches or optimizing it further. Still, the current three-branch implementation provides an adequate representation for engineering applications.
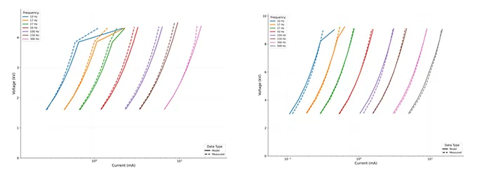
Direct comparison of measured and modeled V-I characteristics confirms the model’s ability to represent the transition from linear to nonlinear conduction. Fig. 12 shows this comparison across the frequency range tested. The model captures both magnitude and slope of the V-I curves, indicating good representation of the voltage-dependent conduction mechanisms. Minor deviations at intermediate frequencies reflect the approximation inherent in representing a continuous relaxation spectrum with discrete RC branches.

Conclusions
A methodology has been developed to create a frequency-dependent model for surge arresters based on impedance measurements across multiple frequencies. Experimental work demonstrated that arrester capacitance remains frequency-independent, while resistance decreases significantly with increasing frequency. This frequency-dependent resistance represents dielectric losses in the grain boundary network and substantially affects energy dissipation under harmonic TOV conditions.
The RC network model implemented in EMTP-ATP reproduces the measured behavior within engineering-acceptable accuracy. The model maintains correct frequency ordering and captures the exponential voltage dependence required for insulation coordination studies. A pipeline framework for automated parameter extraction through differential evolution has been developed, enabling possible adaptation to different MOV blocks without manual adjustment and, thus, making the methodology suitable for industry applications.
Energy dissipation at harmonic frequencies varies substantially from power-frequency predictions. This variation becomes unavoidable when assessing surge arrester performance in cable-rich networks where harmonic resonances could be excited during transformer energization and other system disturbances. Therefore, the frequency-dependent model provides a practical tool for assessing surge arrester performance under realistic grid conditions where harmonic content cannot be neglected. Further work will continue by:
1. Implementing optimization frameworks for automated parameter extraction, potentially employing machine learning techniques;
2. Extension of the MOV block model to a full surge arrester model and validation based on system studies;
3. Integrating temperature-dependent behaviour and hysteresis effects of the MOV block into the frequency-dependent model;
4. Investigating how ageing mechanisms impact frequency-dependent behaviour by tracking impedance changes across the frequency spectrum over time.
References
[1] CIGRE Technical Brochure 913, Evaluation of Temporary Overvoltages in Power Systems due to Low Order Harmonic Resonances, 2023
[2] K. Velitsikakis, I. Tannemaat, Surge Arrester Stresses due to Harmonic Resonance Temporary Overvoltages in Transmission Systems: A Case Study of the Dutch Grid, INMR World Congress, Berlin, 2022
[3] IEC 60071-4, Insulation Co-ordination – Part 4: Computational Guide to Insulation Co-ordination and Modelling of Electrical Networks, 2004
[4] S.P.P. Dhulipala, Characterization of Arresters for Harmonic Overvoltage Studies, Delft University of Technology, August 2025
[5] https://atp-emtp.org/index.php
[6] K. Kundert, Modeling Dielectric Absorption in Capacitors, 2021
[7] A. Oustaloup, F. Levron, B. Mathieu, F.M. Nanot, Frequency-band Complex Noninteger Differentiator: Characterization and Synthesis, IEEE Transactions on Circuits and Systems I: Fundamental Theory and Applications, Vol. 47, Issue 1, 2000




















